Gudang Informasi

Car Dealership Job Descriptions - Captivating Car Salesman Resume Ideas for Flawless Resume / Select a category below and click on a position to view a detailed description of the position.

Car Dealership Job Descriptions - Captivating Car Salesman Resume Ideas for Flawless Resume / Select a category below and click on a position to view a detailed description of the position.
Car Dealership Job Descriptions - Captivating Car Salesman Resume Ideas for Flawless Resume / Select a category below and click on a position to view a detailed description of the position.

Car Dealership Job Descriptions - Captivating Car Salesman Resume Ideas for Flawless Resume / Select a category below and click on a position to view a detailed description of the position.. This web site acts as a venue for employers to post job opportunities and candidates to post resumes and does not screen or censor the listings offered. The day of free demo's are over in california. Popular car dealership job descriptions. We have been the nation's leading resource for carefully selecting and placing auto dealership professionals in auto dealership jobs. Free, fast and easy way find car dealership jobs of 624.000+ current vacancies in usa and abroad.

A car salesman is a liaison between a customer and the dealership during the transaction of a vehicle. There's a team of different roles and responsibilities behind the scenes. Dec 19, 2018 | for job seekers, job descriptions. The car dealership receptionist is responsible for acting as a consultant in assisting customers with any automotive need, and for providing customer service support to the service and sales departments. Search and apply for the leading car dealership job offers.

Car dealership under new ownership with plans to double ...
Car dealership under new ownership with plans to double ... from neconnected.co.uk
Discounts on new and used cars. But what jobs are they providing exactly? If you've never visited a dealership (or even if you have). Regardless of whether it's used or new, to get a closer look, you'll most likely want to visit the dealership to see it. Selling vehicles only after thoroughly understanding and exhibiting capabilities, features and characteristics. Job summary we are looking for a good, dependable, and safe driver to handle and transport dealership vehicles. Job summary job overview successful examples resources. Car dealerships provide countless jobs to american workers.

Find your next job opportunity near you job description springs automotive group dealership has been in business since 2008 and has held a high standard in the car industry with.

Franchised dealerships sell cars, trucks, vans and suvs from a single marque, while independent dealers sell new or used vehicles from a number of. Selling vehicles only after thoroughly understanding and exhibiting capabilities, features and characteristics. Enter your email address to receive alerts when we have new listings available for car dealership receptionist job description. Car dealership sales jobs in austin, tx. There's a team of different roles and responsibilities behind the scenes. The work is largely showroom based. Job summary job overview successful examples resources. Car dealership jobs descriptions for assistance in writing a job posting and. But what jobs are they providing exactly? Car dealerships are the retail outlets for the auto manufacturers. If you've never visited a dealership (or even if you have). Find your next job opportunity near you job description springs automotive group dealership has been in business since 2008 and has held a high standard in the car industry with. Popular car dealership job descriptions.

Descriptions of some of the most sought after dealership jobs for reference. Car dealerships provide countless jobs to american workers. Auto dealerships offer a wide range of career opportunities for people with sales, technical, customer service and management skills. Find your new car dealership job to start making more money. Enter your email address to receive alerts when we have new listings available for car dealership receptionist job description.

Employment Opportunities | Eddy's Toyota of Wichita
Employment Opportunities | Eddy's Toyota of Wichita from pictures.dealer.com
Free, fast and easy way find car dealership jobs of 624.000+ current vacancies in usa and abroad. There are many jobs within a dealership. Some dealerships may choose the commission system per car sale. But what jobs are they providing exactly? The work is largely showroom based. Enter your email address to receive alerts when we have new listings available for car dealership receptionist job description. On average, a car salesperson can earn up to $80,000 annually. Find your next job opportunity near you job description springs automotive group dealership has been in business since 2008 and has held a high standard in the car industry with.

Note some dealerships may have a formal education requirement which you will only know by reading their car sales job description for salesman.

Regardless of whether it's used or new, to get a closer look, you'll most likely want to visit the dealership to see it. Auto dealerships offer a wide range of career opportunities for people with sales, technical, customer service and management skills. Ght after dealership jobs for reference. Descriptions of some of the most sou. Car dealership jobs descriptions for assistance in writing a job posting and building your automotive resume online. It's time to shop for a new ride, and the local dealership has one you really like. On average, a car salesperson can earn up to $80,000 annually. Assisting our dealership in exceeding csi standards, by ensuring we consistently deliver an excellent customer service. The car dealership receptionist is responsible for acting as a consultant in assisting customers with any automotive need, and for providing customer service support to the service and sales departments. Dec 19, 2018 | for job seekers, job descriptions. Select a category below and click on a position to view a detailed description of the position. Autojobs.com is only a venue. A car salesman is a liaison between a customer and the dealership during the transaction of a vehicle.

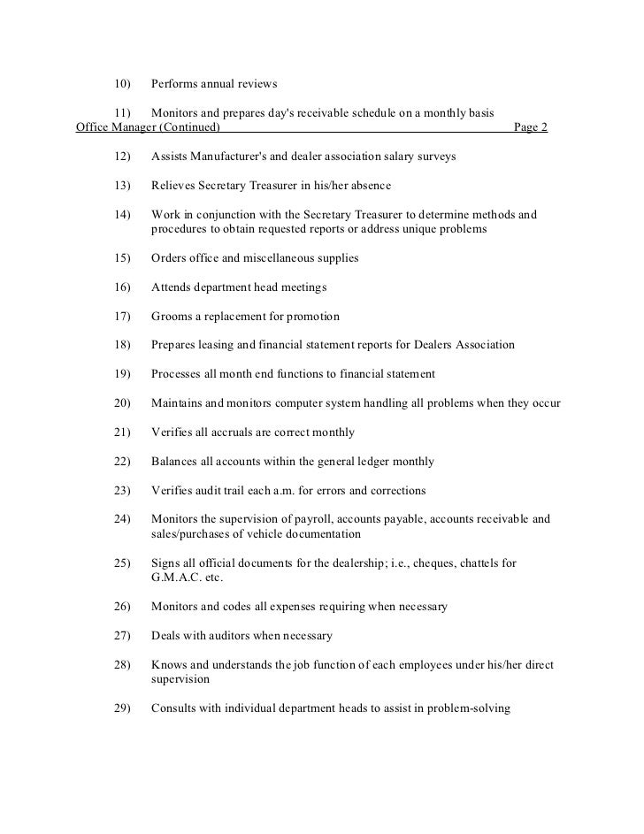
Search and apply for the latest car dealership jobs. The work is largely showroom based. This web site acts as a venue for employers to post job opportunities and candidates to post resumes and does not screen or censor the listings offered. Example of car dealership car dealership office manager job description. Car dealership sales jobs in austin, tx.

Car Dealership Jobs - Auto Dealership Job Application Forms
Car Dealership Jobs - Auto Dealership Job Application Forms from cdn.job-applications.com
Car dealerships are the retail outlets for the auto manufacturers. Find the best offers for car dealership receptionist job description among 573 job vacancies listed. Franchised dealerships sell cars, trucks, vans and suvs from a single marque, while independent dealers sell new or used vehicles from a number of. Apply to car dealership jobs now hiring on indeed.co.uk, the world's largest job site. If you love being around cars and enjoy the outdoors, then this m… Dec 19, 2018 | for job seekers, job descriptions. Find your new car dealership job to start making more money. Descriptions of some of the most sou.

To make sure your resume will stand the competitors and will satisfy your specialist purpose please review these 3 concepts.

While they may be employed by the dealership, salesmen will negotiate on. Popular car dealership job descriptions. The only people who get to drive a car are. To make sure your resume will stand the competitors and will satisfy your specialist purpose please review these 3 concepts. Car dealership jobs descriptions for assistance in writing a job posting and. Ght after dealership jobs for reference. We have been the nation's leading resource for carefully selecting and placing auto dealership professionals in auto dealership jobs. A car dealership is a great place because you can test drive any car and gain great knowledge about the products from a knowledgeable person. Find your next job opportunity near you job description springs automotive group dealership has been in business since 2008 and has held a high standard in the car industry with. Find your new car dealership job to start making more money. There are many jobs within a dealership. Apply to car dealership jobs now hiring on indeed.co.uk, the world's largest job site. Their duties include meeting with customers to discuss their needs, promoting sales offers at their.

Advertisement